File:2015arc.png

From TORI
Jump to navigation Jump to search

Original file(1,726 × 709 pixels, file size: 190 KB, MIME type: image/png)

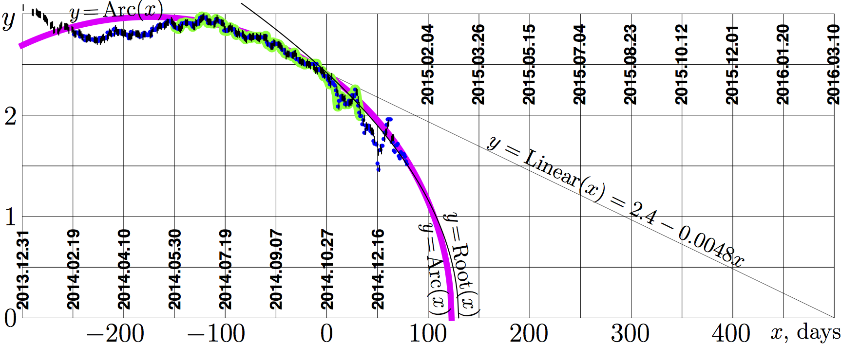
rice $y$ of Russian rouble, measured in the USA cents, versus time $x$:

Data by https://www.mataf.net/en/currency/converter-USD-RUB available for 29 November 2014‎ are shown with thick green line, and those for 2015.01.14 are shown with blue dots.

The black vertical bars show the data by www.cbr.ru/scripts/XML_dynamic.asp?date_req1=01/01/2014&date_req2=01/05/2015&VAL_NM_RQ=R01235

the lineal approximation of the data available 2014.10.27 (thin black straight line), and

the approximation Arc, made 2014.11.29 (thick ping arc):

$\mathrm{Arc}(x) = .01 \sqrt{(a+x)(b-x)}$

with $a=471$ and $b=123$

At the specific choice of ratio of the scale of ordinate axis to that of the abscise axis, approximation Arc appears as arc of the perfect circle. In order to stress this, this arc is a little bit extended below the abscissa axis (to values that would correspond to negative branch of the square root). This approximation suggests imaginary values of rouble for time $x>132$.

Basically, graphic is the same, as the image from 2014.11.29, loaded as http://mizugadro.mydns.jp/t/index.php/File:RubleArc.png

The difference is, that a little bit more space at the left to provide the same range with the later figure http://mizugadro.mydns.jp/t/index.php/File:2015Arc.png , that figure shows that the good agreement of this approximation takes place also for the extended experimental data, since the beginning of year 2014, and more space is necessary.

This image is used as figure 2 in the article [1] and, perhaps, the ubldated versions of that file.

This image is loaded for use in the articles

Model of collapsing economics,

Модель коллапсирующей экономики,

that is supposed to be basically the same as [1],

but needs some TORIfication at the uploading.

References

  1. 1.0 1.1 http://mizugadro.mydns.jp/PAPERS/2015ARC/r02.pdf Дмитрий Кузнецов (Dmitrii Kouznetsov). Простая модель коллапсирующей экономики. 2015, in Russian. (The English version is expected to be loaded soon.)

http://www.regnum.ru/news/polit/1883032.html Валентин Катасонов. Экономические итоги России 2014 года: ограбление страны в особо крупных размерах. 09.01.2015 20:43. .. Наш Центробанк, согласно Конституции Российской Федерации, обязан обеспечивать стабильность национальной денежной единицы — рубля. Это не просто красивая фраза, некая абстракция из разряда макроэкономики. Это экономическая безопасность нашего государства и благосостояние наших граждан. В силу особой важности этой политической, экономической и социальной задачи она зафиксирована в Конституции Российской Федерации. У Банка России много задач и функций (они прописаны в Федеральном законе о Центральном банке Российской Федерации), но упомянутая выше задача — главнейшая. Банк России в прошлом году не только не справился с решением этой задачи. Возникло устойчивое ощущение, что он делал все возможное для того, чтобы «раскачать» рубль.

Similar figures

http://mizugadro.mydns.jp/t/index.php/File:RubleArc.png

http://mizugadro.mydns.jp/t/index.php/File:Ruble85210.png

http://mizugadro.mydns.jp/t/index.php/File:Ruble85210a.png

http://mizugadro.mydns.jp/t/index.php/File:2014arc.png

File history

Click on a date/time to view the file as it appeared at that time.

Date/TimeThumbnailDimensionsUserComment
current06:09, 1 December 2018Thumbnail for version as of 06:09, 1 December 20181,726 × 709 (190 KB)Maintenance script (talk | contribs)Importing image file

Metadata